Սկիզբ
Նորություններ
Աշակերտ
Դիմորդ
Թեստեր
Շտեմարաններ
Լսարան
Հայտարարություններ
Գրանցվել
Մուտք
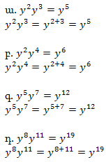
Հանրահաշիվ 8 - Հ.Ս.Միքայելյան
Էջ - 28, Վարժություն - 116
Դեպի նախորդ վարժություն
Դեպի հաջորդ վարժություն
Լուծում