Սկիզբ
Նորություններ
Աշակերտ
Դիմորդ
Թեստեր
Շտեմարաններ
Լսարան
Հայտարարություններ
Գրանցվել
Մուտք
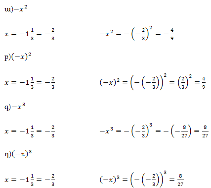
Հանրահաշիվ 7 - Ս.Մ.Նիկոլսկի
Էջ - 49, Վարժություն - 154
Դեպի նախորդ վարժություն
Դեպի հաջորդ վարժություն
Լուծում