Սկիզբ
Նորություններ
Աշակերտ
Դիմորդ
Թեստեր
Շտեմարաններ
Լսարան
Հայտարարություններ
Գրանցվել
Մուտք
Հանրահաշիվ 7 - Ս.Մ.Նիկոլսկի
Էջ - 11, Վարժություն - 18
Դեպի նախորդ վարժություն
Դեպի հաջորդ վարժություն
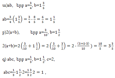
Լուծում